在心血管疾病领域,扩张型心肌病(DCM)是一种高致死率的心脏疾病,其特征是左心室扩大和收缩功能下降,病因复杂且缺乏针对性治疗手段。近年来,随着基因检测技术的发展,人们发现约11%至37%的DCM病例与遗传变异有关,尤其是MYH7 和TTN 基因的致病性变异,直接影响心肌收缩功能。
在这一背景下,一项发表于JACC杂志上的研究,首次评估了一种名为Danicamtiv 的新型小分子药物在DCM患者中的安全性与初步疗效。该药物是一种选择性心脏肌球蛋白激动剂,旨在直接增强心肌收缩力,尤其适用于因肌球蛋白功能缺陷导致的DCM。

从实验室到临床:机制明确,靶向精准
研究首先通过体外实验证实,Danicamtiv能够增强野生型及多种DCM致病变异型肌球蛋白的酶活性,并恢复心肌纤维的钙敏感性和力量输出。例如,在携带人类F764L变异的小鼠模型中,Danicamtiv显著提升了心肌纤维的收缩力,验证了其在分子层面的有效性。
随后,研究团队开展了一项多中心、开放标签的IIa期临床试验,共纳入41名DCM患者,分为三组:MYH7变异组(12人)、TTN变异组(14人)和其他原因组(15人)。所有患者在治疗期间接受Danicamtiv口服,剂量从25mg每日两次逐步调整至10mg或50mg。

图:研究概述
安全性良好,未见严重不良反应
在安全性方面,Danicamtiv表现出良好的耐受性。治疗期间,53.7%的患者报告了治疗相关不良事件,但均为轻度或中度,最常见的是头痛、腹泻、头晕和疲劳。仅有一例患者因COVID-19相关症状退出研究。未出现严重不良事件或死亡病例。
值得注意的是,有3名“其他原因”组患者出现无症状性心肌肌钙蛋白升高,但无缺血临床表现,也未中断治疗。而在MYH7和TTN组中,未观察到显著肌钙蛋白变化。

图:Danicamtiv血浆浓度与肌钙蛋白浓度
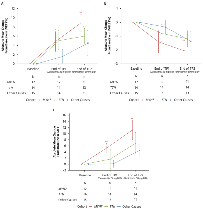
心功能显著改善,遗传亚组获益更明显
研究中最令人振奋的结果来自心脏超声指标的改善。治疗后,MYH7组和TTN组的左心室射血分数分别提升8.8%和5.9%,而其他原因组为4.4%。左心室整体纵向应变和左心房功能指数也在MYH7组中有显著改善,提示心肌收缩与舒张功能同步提升。

图:心脏收缩功能较基线的变化
此外,患者报告的生活质量指标(KCCQ-23评分)和NYHA心功能分级也有积极变化,尤其在MYH7和TTN组中更为明显。NT-proBNP水平在MYH7组中下降,进一步支持了药物的生物学效应。
综上,Danicamtiv不仅是肌球蛋白靶向治疗的重要进展,更是心血管精准医疗的一个里程碑。它让我们看到,通过基因分型识别适宜人群,有望为部分DCM患者带来前所未有的治疗希望。在心力衰竭治疗仍以神经激素拮抗为主的今天,Danicamtiv为代表的“肌动力药物”正悄然开启一个新的时代。
原始出处
Lakdawala, N, Hershberger, R, Garcia-Pavia, P. et al. Danicamtiv, A Selective Agonist of Cardiac Myosin, for Dilated Cardiomyopathy: A Phase 2 Open-Label Trial. JACC. null2025, 0 (0) .https://doi.org/10.1016/j.jacc.2025.09.1511
本文相关学术信息由梅斯医学提供,基于自主研发的人工智能学术机器人完成翻译后邀请临床医师进行再次校对。如有内容上的不准确请留言给我们。